
句容头条讯 石家庄市第一医院项目(赵卜口院区)是石家庄政府投资项目,建设单位为石家庄市政府投资项目代建中心。施工总承包单位为河北建工集团有限责任公司。


然而,该项目至今拖欠来自广东省深圳林亚彪班组等农民工劳务工资139.9193万元5年多未支付。企查查显示:担负农民工工资支付主要职责的投资方石家庄市政府投资项目代建中心早已注销。农民工在信访和媒体投诉后,石家庄市城市更新促进中心于2025年6月16日,与林亚彪签订了“双向责任书”,并发来“告知书”。承诺于2025年8月1日前办结并书面回复。但眼看日期临近,五年未拿到139.9万元工资问题仍未解决。


一、事件基本经过
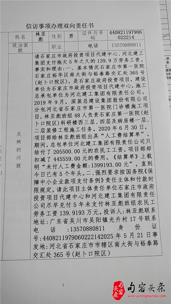
石家庄市第一医院石家庄裕华区南大街与裕泰路交汇处365号(赵卜口院区),是石家庄政府投资项目,建设单位为石家庄市政府投资项目代建中心,施工总承包单位为河北建工集团有限责任公司(简称河北建工)。2019年9月,深装总建设集团股份有限公司(简称深装总建)分包河北省石家庄市第一医院门诊楼施工项目,林亚彪班组48人负责石家庄第一医院(赵卜口院区)科研楼西三层、四层及病房楼一层、二层装修工程施工任务。蹊跷的是,该工程于2020年6月30日前完结,建筑主体随即投入使用,而直到同年12月25日才给林亚彪班组出具“人工费结算单”。
期间,总包单位河北建工集团有限责任公司作为工资代发机构,只结付了205500.00元的农民工工资,医院相关工程完工使用后项目部却又以各种理由扣减了445559.00元的费用,当林亚彪班组拿到“人工费结算单”时,《结算单》上清楚载明“未付人工费金额:1399193.00元”,直到今日已有5个多年头,河北建工一分未予兑付。


二、多次承诺,多次欺骗和故意推诿
2023年12月,石家庄市政府投资项目代建中心发文,向石家庄市政府“关于优先安排石家庄市第一医院项目(赵卜口院区)进行决(结)算评审的请示”,恳请市政府协调市建设项目评审评估中心尽快优先安排该项目结算评审工作,尽快完成评审,以便财政拨付工程尾款,从根本上解决该项目存在的欠薪隐患和舆情风险问题。得到的批复中明确要求:所有欠薪问题快办快结,实现“两清零”目标。但结付工资的事情依旧石沉大海......
每次讨要未支付的农民工工资,来回奔波2000多公里,到石家庄一住至少一个月,时间长时三个月,这样的反复拉扯一拖就是五年多,要吃饭、要工作、孩子要上学......对林亚彪和工友们来说这样的拖延和等待既耗不起,也给生活和生存都带来极大的负面影响,但总包单位河北建工集团要么以工程未决算,财政没拨款为由,暂时结算不了;要么多次承诺“拨款很快要下来,大家安心回家,钱一到就立马发到位,大家在家里等”为幌子,将大家忽悠回去。

三、强烈诉求
2025年3月17日,国务院总理李强签署第802号国务院令,公布修订后的《保障中小企业款项支付条例》,自2025年6月1日起施行。“款项支付规定”进一步明确付款期限。明确对机关、事业单位和大型企业的款项支付期限要求,应当自货物、工程、服务交付之日起30日内支付款项;合同另有约定的,从其约定,但付款期限最长不得超过60日。
农民工工资是农民养家糊口的血汗钱。眼下又到2025年下半年,拖欠的139.9193.万农民工劳务工资仍然未有着落。石家庄市城市更新促进中心与林亚彪签订了“双向责任书”和发来的“告知书”。承诺于2025年8月1日前给深圳林亚彪农民工班组办结,是不是继续再忽悠?盖章签名的“责任书”还算不算数?能否真正按承诺早日将拖欠的1399193.00元农民工工资办结?还是未知数!但,深圳林亚彪农民工班组会翘首以待,更会继续保留措施,维护自己的合法权益!
投诉人:林亚彪
联系地址:广东省深圳市
电话:135*****811 ;身份证号:4408*********22214
2025年7月16日